开云(中国)
开云(中国)
Integrated Circuit

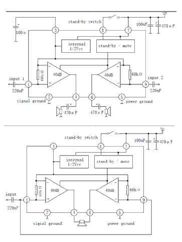
UTC1528 18W音频功放电路

UTC1528是一个集成了B类双输出放大器,9引脚单列直插式(To220Z9)塑料功率封装。该装置主要用于汽车收音机应用。


产品特性

*需要非常少的外部组件桥接负载(BTL),立体声或BTL应用;

*高输出功率,固定增益,良好的纹波抑制;

*相同的输入(反相和非反相),较低的输出失调电压(重要的BTL);

*静音/待机开关功能;

*负载突降保护,交直流短路安全接地和VCC,热保护;

*反接保护;

*拥有较高的输出功率;

*静电保护。